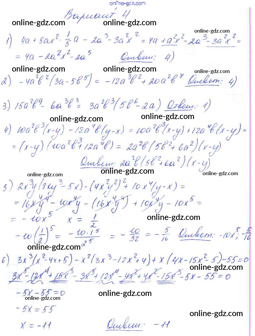
Готовые домашние задания по Алгебре за 7 класс Самостоятельные и контрольные работы Глазков, Гаиашвили УМК 2019 - КР-5 Контрольные работы вариант 4

Алгебра
7
Самостоятельные и контрольные работы
Глазков Ю.А., Гаиашвили М.Я.
Самостоятельные работы
Контрольные работы
Решебник
контрольная работа / кр-5 / вариант 4
