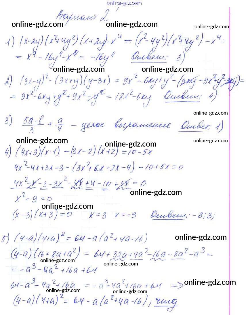
Готовые домашние задания по Алгебре за 7 класс Самостоятельные и контрольные работы Глазков, Гаиашвили УМК 2019 - СР-27 Самостоятельные работы вариант 2

Алгебра
7
Самостоятельные и контрольные работы
Глазков Ю.А., Гаиашвили М.Я.
Самостоятельные работы
Контрольные работы
Решебник
самостоятельная работа / ср-27 / вариант 2
