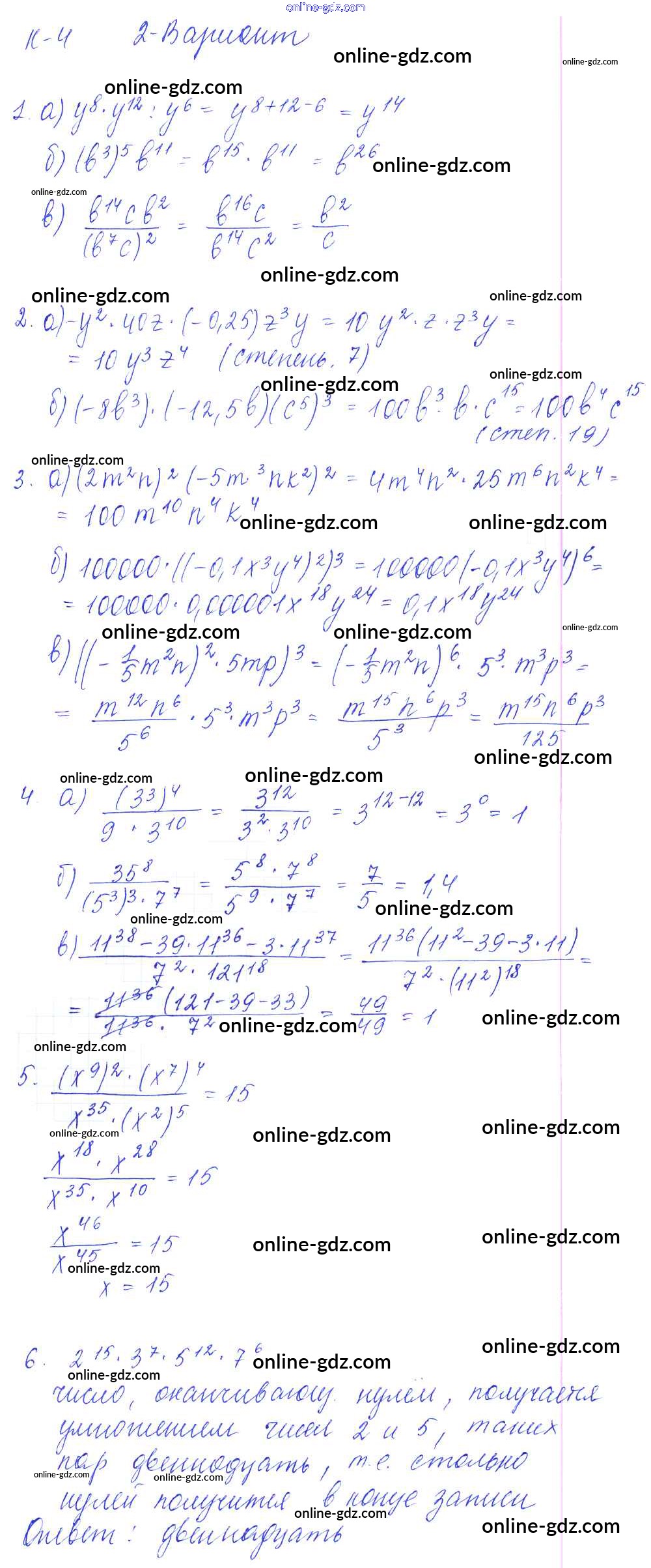
Готовые домашние задания по Алгебре за 7 класс Дидактические материалы Дьяконова УМК 2018 - КР-4 Контрольные работы Вариант 2

Готовые домашние задания по Алгебре за 7 класс Дидактические материалы Дьяконова УМК  2018 - КР-4 Контрольные работы Вариант 2
Алгебра 7 Дидактические материалы

Установочный тест

Решебник

контрольная работа / кр-4 / вариант 2

Предыдущее Следующее