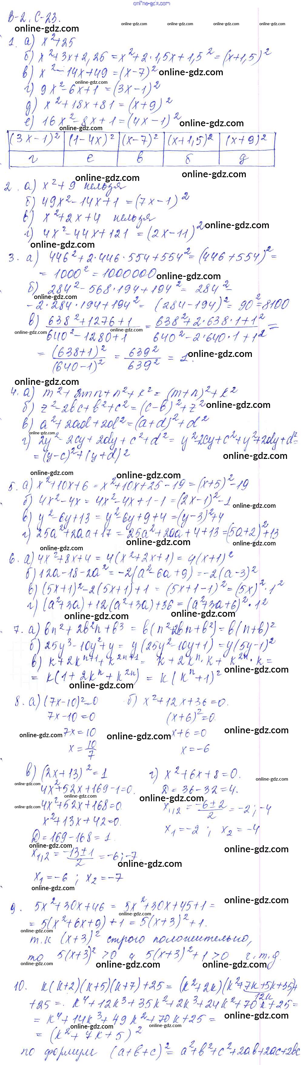
Готовые домашние задания по Алгебре за 7 класс Дидактические материалы Дьяконова УМК 2018 - Ср-23 Самостоятельные работы Вариант 2

Готовые домашние задания по Алгебре за 7 класс Дидактические материалы Дьяконова УМК  2018 - Ср-23 Самостоятельные работы Вариант 2
Алгебра 7 Дидактические материалы

Установочный тест

Решебник

самостоятельная работа / ср-23 / вариант 2

Предыдущее Следующее