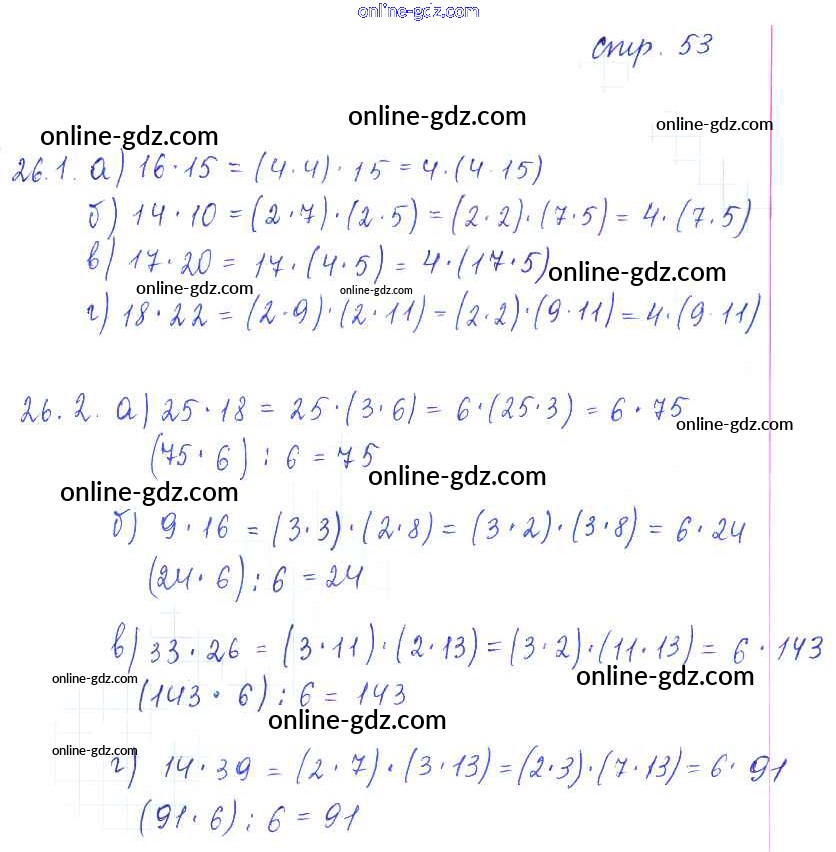
Готовые домашние задания по Математике за 6 класс Рабочая тетрадь Зубарева 2016 - Часть 2. Страницы 53

Математика
6
Рабочая тетрадь
Зубарева И.И.
Часть 1. Страницы
Решебник
часть 2. страница / 53
