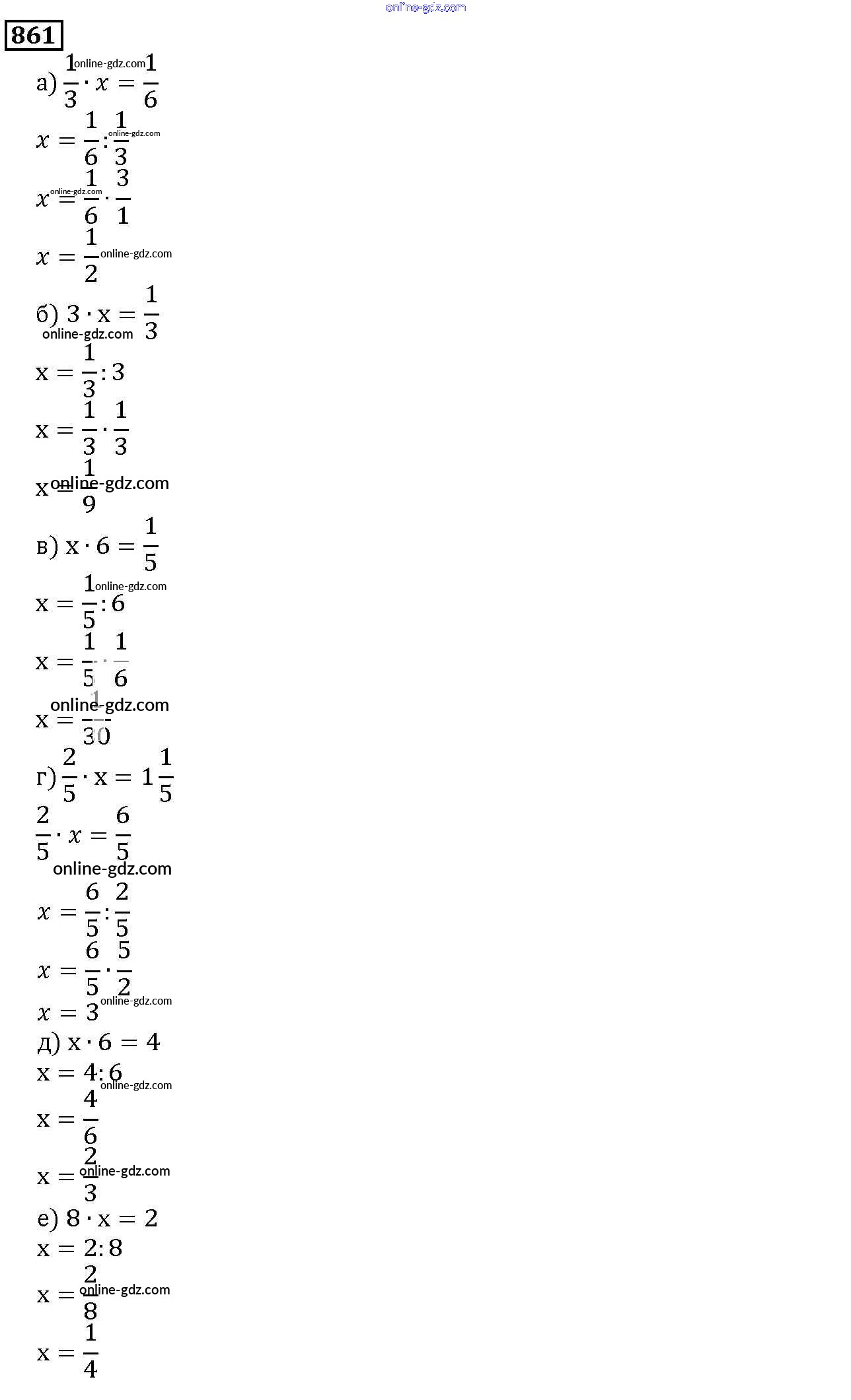
Готовые домашние задания по Математике за 5 класс Учебник Дорофеев, Шарыгин 2015 - 9.5. Деление дробей Глава 9. Действия с дробями 861

Математика
5
Учебник
Дорофеев Г.В., Шарыгин И.Ф., Суворова С.Б., Бунимович Е.А., Кузнецова М.И., Минаева С.С., Рослова Л.О.
Глава 1. Линии
Глава 2. Натуральные числа
2.2. Натуральный ряд. Сравнение натуральных чисел
2.4. Округление натуральных чисел
Глава 3. Действия с натуральными числами
3.1. Сложение и вычитание
3.2. Умножение и деление
3.3. Порядок действий в вычислениях
3.4. Степень числа
Глава 4. Использование свойств действий при вычислениях
Глава 5. Углы и многоугольники
Глава 6. Делимость чисел
6.1. Делители и кратные
6.2. Простые и составные
Глава 7. Треугольники и четырехугольники
Глава 8. Дроби
8.2. Что такое дробь
8.3. Основное свойство дроби
8.5. Сравнение дробей
Глава 9. Действия с дробями
9.1. Сложение и вычитание дробей
9.3. Сложение и вычитание смешанных дробей
9.4. Умножение дробей
9.5. Деление дробей
9.6. Нахождение части целого и целого по части
Глава 10. Многогранники
10.1. Геометрические тела и их изображение
10.2. Параллелепипед
10.3. Объем параллелепипеда
Глава 11. Таблицы и диаграммы
11.1. Чтение и составление таблиц
Решебник 1
глава 9 / 9.5 / 861

Решебник 2
глава 9 / 9.5 / 861

Решебник 3
глава 9 / 9.5 / 861

Решебник 4
глава 9 / 9.5 / 861
