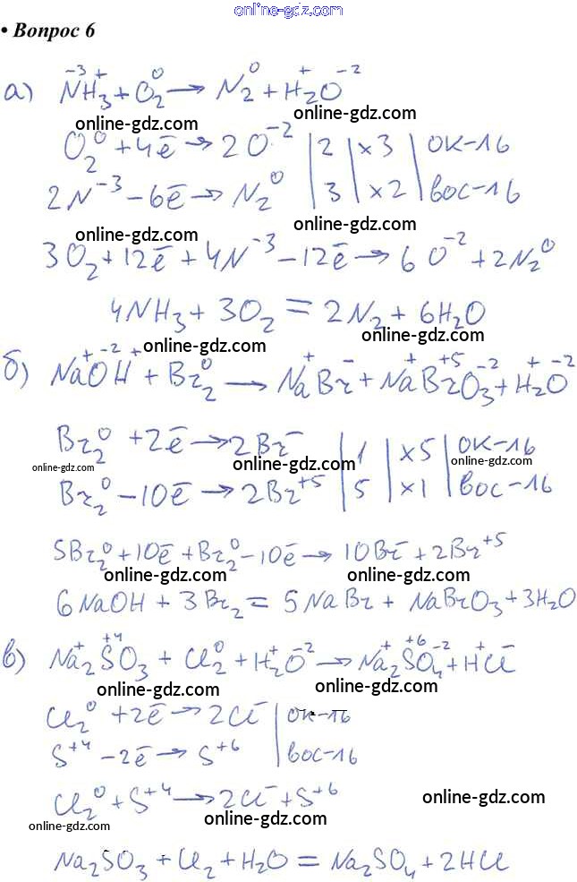
Готовые домашние задания по Химии за 9 класс Учебник Габриелян, Остроумов 2021 - §10. Общая характеристика неметаллов 6

Химия
9
Учебник
Габриелян О.С., Остроумов И.Г., Сладков С.А.
§5. Основные положения теории электролитической диссоциации
Выразите своё мнение
§6. Химические свойства кислот как электролитов
Используйте дополнительную информацию
§7. Химические свойства оснований как электролитов
Используйте дополнительную информацию
§8. Химические свойства солей как электролитов
Используйте дополнительную информацию
§11. Общая характеристика элементов VlIA-грунпы — галогенов
Используйте дополнительную информацию
§16. Общая характеристика элементов VA-группы. Азот
Используйте дополнительную информацию
Выразите своё мнение
§17. Аммиак. Соли аммония
Используйте дополнительную информацию
Выразите своё мнение
§19. Фосфор и его соединения
Используйте дополнительную информацию
Выразите своё мнение
§20. Общая характеристика элементов IVA-грунны. Углерод
§23. Кислородсодержащие органические соединения
Используйте дополнительную информацию
§27. Получение важнейших химических соединений неметаллов
Используйте дополнительную информацию
§29. Химические свойства металлов
Используйте дополнительную информацию
§30. Общая характеристика элементов IA-группы
Используйте дополнительную информацию
§31. Общая характеристика элементов IIА-группы
§36. Металлы в природе. Понятие о металлургии
Используйте дополнительную информацию
§38. Охрана окружающей среды от химического загрязнения
Лабораторные опыты
Решебник 1
§10 / 6

Решебник 2
§10 / 6

