Готовые домашние задания по Химии за 11 класс Учебник Габриелян, Лысова Вертикаль Углубленный уровень 2017 - §22. Металлы главных подгрупп 4

Готовые домашние задания по Химии за 11 класс Учебник Габриелян, Лысова Вертикаль Углубленный уровень 2017 - §22. Металлы главных подгрупп  4
Химия 11 Учебник

§1. Атом — сложная частица

§2. Состояние электронов в атоме

§3. Электронные конфигурации атомов химических элементов

§4. Валентные возможности атомов химических элементов

§5. Периодический закон, Периодическая система химических элементов Д. И. Менделеева и строение атома

§6. Химическая связь

§7. Гибридизация атомных орбиталей и геометрия молекул

§8. Теория строения химических соединений

§9. Полимеры

§10. Дисперсные системы и растворы

§11. Классификация химических реакций

§12. Тепловые эффекты и причины протекания химических реакций

§13. Скорость химических реакций

§14. Обратимость химических реакций. Химическое равновесие

§15. Электролитическая диссоциация

§17. Классификация веществ

§18. Общая характеристика металлов и их соединений

§19. Коррозия металлов

§20. Способы получения металлов

§21. Электролиз. Химические источники тока

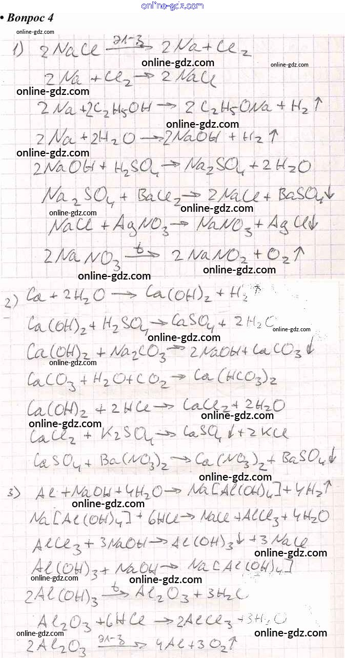
§22. Металлы главных подгрупп

§23. Металлы побочных подгрупп

§24. Общая характеристика неметаллов и их соединений

§25. Галогены

§26. Халькогены. Сера

§27. Неметаллы пятой группы: азот и фосфор

§28. Неметаллы четвёртой группы: углерод и кремний

§29. Кислоты органические и неорганические

§30. Основания органические и неорганические

§31. Амфотерные органические и неорганические соединения

§32. Генетическая связь между классами неорганических и органических веществ

§33. Химия и производство

§34. Химия и сельское хозяйство

§35. Химия и повседневная жизнь человека

Практические работы

Решебник

§22 / 4

Предыдущее Следующее