Готовые домашние задания по Геометрии за 11 класс Учебник Мерзляк, Номировский Алгоритм успеха Углубленный уровень 2019 - §11. Комбинации конуса и пирамиды 11.27

Геометрия
11
Учебник
Мерзляк А.Г., Номировский Д.А., Поляков В.М.
§1. Декартовы координаты точки в пространстве
§2. Векторы в пространстве
§3. Сложение и вычитание векторов
§4. Умножение вектора на число. Гомотетия
§5. Скалярное произведение векторов
§6. Уравнение плоскости
§7. Цилиндр
§8. Комбинации цилиндра и призмы
§9. Конус
§10. Усечённый конус
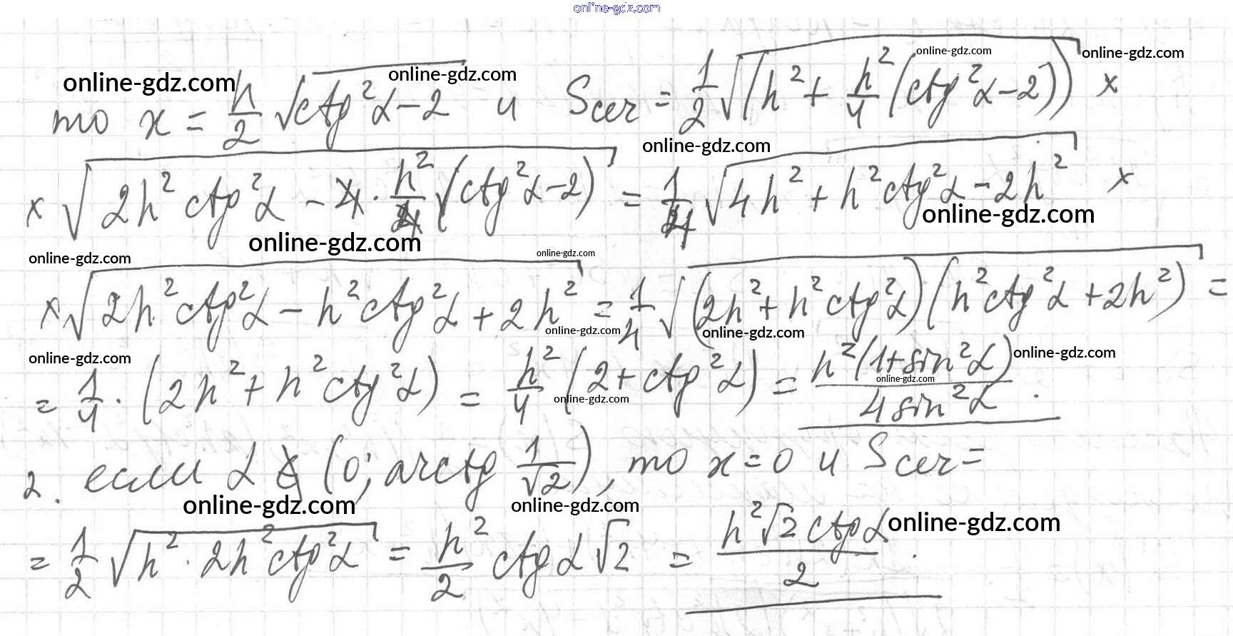
§11. Комбинации конуса и пирамиды
§12. Сфера и шар. Уравнение сферы
Решебник
§11 / 11.27

