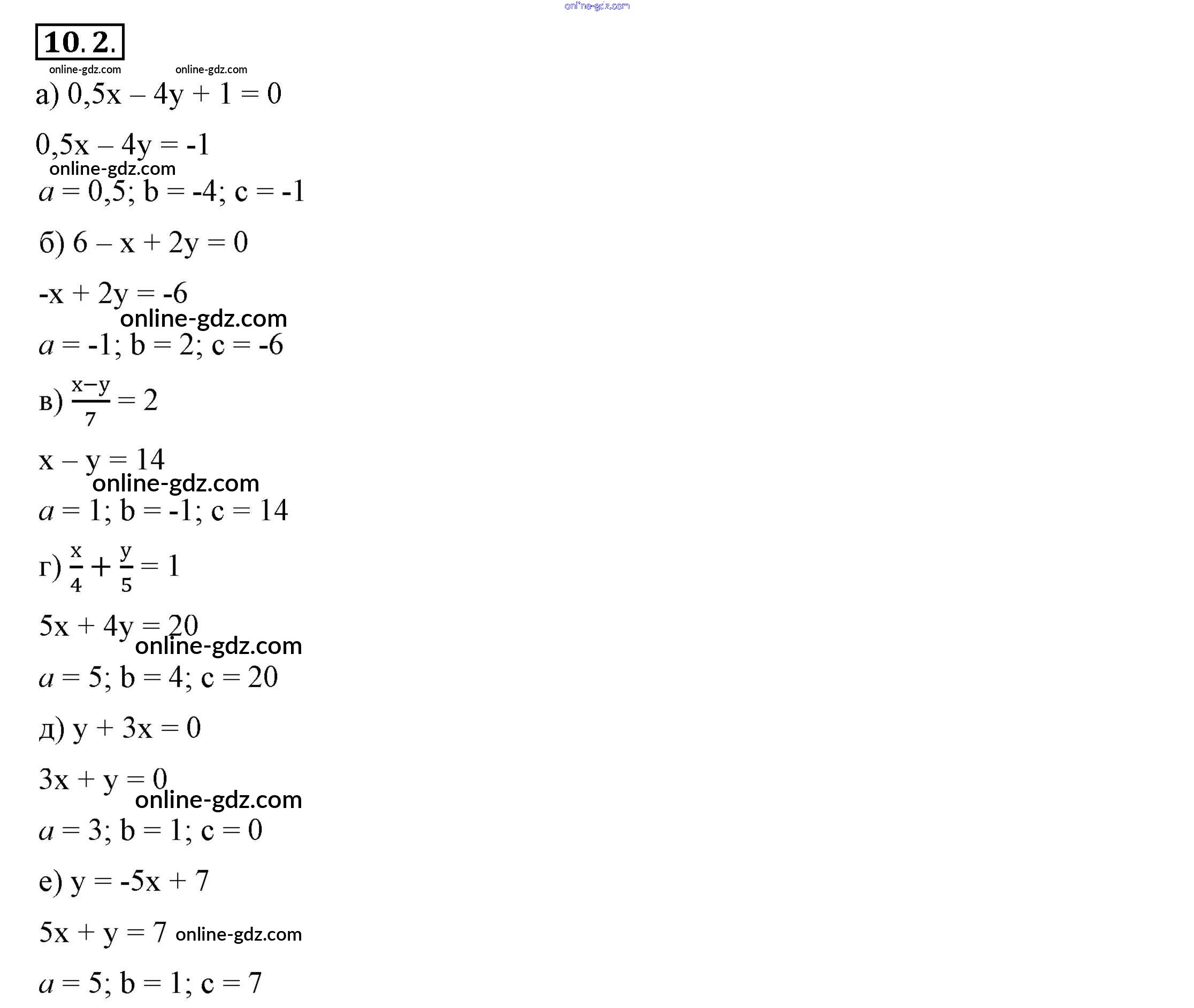
Готовые домашние задания по Алгебре за 7 класс Учебник Мордкович, Семёнов 2018 - §10. Линейные уравнения с двумя переменными 10.2

Алгебра
7
Учебник
Мордкович А.Г., Семёнов А.Л., Александрова О.И., Мардахаева Е.Л.
§1. Числовые и алгебраические выражения
§2. Понятие о математическом языке
§3. Свойства степеней с натуральными показателями
§4. Понятие о математических моделях
§5. Линейные уравнения с одной переменной
§7. Числовые промежутки на координатной прямой
§8. Координатная плоскость. Координаты точки на плоскости
§9. Координатная плоскость. Построение точки на плоскости по заданным координатам
§10. Линейные уравнения с двумя переменными
Решебник
§10 / 10.2
