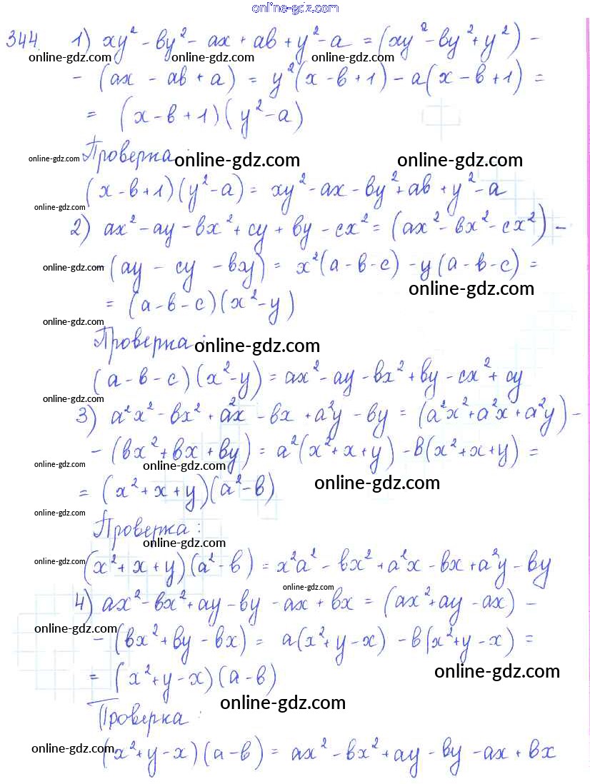
Готовые домашние задания по Алгебре за 7 класс Учебник Алимов, Колягин 2014 - §20. Способ группировки Глава 4. Разложение многочленов на множители 344

Алгебра
7
Учебник
Алимов Ш.А., Колягин Ю.М., Сидоров Ю.В., Ткачева М.В., Федорова С.А., Шабунин М.И.
Глава 1. Алгебраические выражения
Глава 2. Уравнения с одним неизвестным
§7. Решение уравнений с одним неизвестным, сводящихся к линейным
Глава 3. Одночлены и многочлены
§9. Степень с натуральным показателем
§10. Свойства степени с натуральным показателем
§18. Деление одночлена и многочлена на одночлен
Глава 4. Разложение многочленов на множители
§19. Вынесение общего множителя за скобки
§21. Формула разности квадратов
§22. Квадрат суммы. Квадрат разности
§23. Применение нескольких способов разложения многочлена на множители
Глава 5. Алгебраические дроби
§24. Алгебраическая дробь. Сокращение дробей
§26. Сложение и вычитание алгебраических дробей
§27. Умножение и деление алгебраических дробей
Глава 6. Линейная функция и ее график
§29. Прямоугольная система координат на плоскости
§31. Функция y=kx и ее график
§32. Линейная функция и ее график
Глава 7. Системы двух уравнений с двумя неизвестными
§33. Уравнения первой степени с двумя неизвестными. Системы уравнений
§37. Решение задач с помощью систем уравнений
Глава 8. Элементы комбинаторики
§40. Подсчет вариантов с помощью графов
Упражнения для повторения курса алгебры 7 класса
Решебник
глава 4 / §20 / 344

Решебник к старому учебнику
глава 4 / §20 / 344
