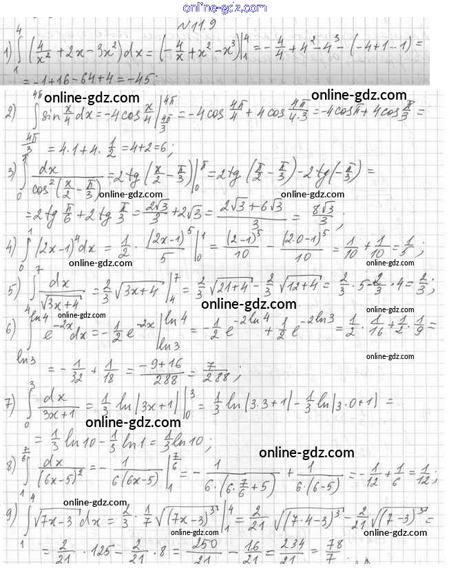
Готовые домашние задания по Алгебре за 11 класс Учебник Мерзляк, Номировский Алгоритм успеха Углубленный уровень 2019 - §11. Площадь криволинейной трапеции. Определённый интеграл 11.9

Алгебра
11
Учебник
Мерзляк А.Г., Номировский Д.А., Поляков В.М.
§1. Степень с произвольным действительным показателем. Показательная функция
§2. Показательные уравнения
§3. Показательные неравенства
§4. Логарифм и его свойства
§5. Логарифмическая функция и её свойства
§6. Логарифмические уравнения
§7. Логарифмические неравенства
§8. Производные показательной и логарифмической функций
§10. Правила нахождения первообразной
§11. Площадь криволинейной трапеции. Определённый интеграл
§13. Множество комплексных чисел
§14. Комплексная плоскость. Тригонометрическая форма комплексного числа
§15. Умножение и деление комплексных чисел, записанных в тригонометрической форме. Корень n-й степени из комплексного числа
§16. Решение алгебраических уравнений на множестве комплексных чисел
§17. Элементы комбинаторики и бином Ньютона
§18. Аксиомы теории вероятностей
§19. Условная вероятность
§20. Независимые события
§21. Случайная величина
§22. Схема Бернулли. Биномиальное распределение
§23. Характеристики случайной величины
Решебник
§11 / 11.9
