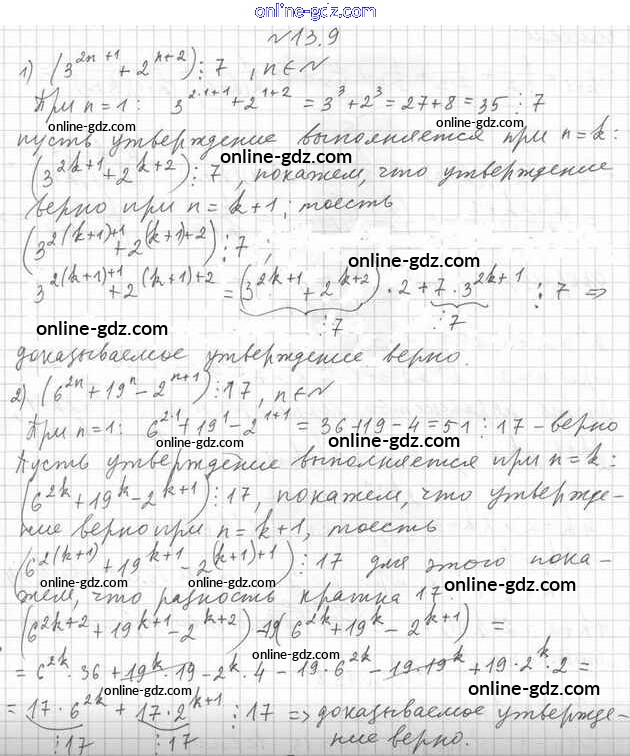
Готовые домашние задания по Алгебре за 11 класс Учебник Мерзляк, Номировский Алгоритм успеха Базовый и профильный уровни 2017 - §13. Логарифм и его свойства 13.9

Алгебра
11
Учебник
Мерзляк А.Г., Номировский Д.А., Полонский В.Б.
§1. Представление о пределе функции в точке и о непрерывности функции в точке
§2. Задачи о мгновенной скорости и касательной к графику функции
§3. Понятие производной
§4. Правила вычисления производных
§5. Уравнение касательной
§6. Признаки возрастания и убывания функции
§7. Точки экстремума функции
§8. Наибольшее и наименьшее значения функции
§9. Построение графиков функций
§10. Степень с произвольным действительным показателем. Показательная функция
§11. Показательные уравнения
§14. Логарифмическая функция и её свойства
§15. Логарифмические уравнения
§16. Логарифмические неравенства
§17. Производные показательной и логарифмической функций
§18. Первообразная
§19. Правила нахождения первообразной
Решебник
§13 / 13.9
